- 扩散硅压力变送器
- 电容式压力变送器
- 无纸记录仪
- HART手操器
- 温度仪表
- 温度变送器
- 石英管液位计
- 浮球液位计
- 电容式液位计<
- 射频导纳液位计
- 雷达物位计
- 压力源
- 安全栅
- 压力表
- 精密数字压力表
- 温度校验仪
- 流量计
- 孔板流量计
- 弯管流量计
- 威力巴流量计
- 椭圆齿轮流量计
- 涡轮流量计
- 金属管转子流量计
- 超声波流量计
- 玻璃转子流量计
- 旋进漩涡流量计
- 锥形流量计
- 液体流量计
- 气体流量计
- 风压变送器
- 压力负压变送器
- 小巧型不锈钢压力变送器
- PT100铂热电阻
- 投入式静压液位变送器
- 防腐投入式液位变送器
流量的定义和表示方法
流量的定义
流体在单位时间内通过管道某一截面的数量称为流体的瞬时流量,简称流量。按计量流体数量方法的不同,流量可分为质量流量Qm和体积流量Qv,。由于很堆保证流体在流动过程中均匀流动,严格地说,只能认为在某一截面的某一微小单元面积dA上流动是均匀的,即有:

式中dqv,—通过截面某一微元面的流体体积流量.m3。;
dqm,—通过截面某,微元面的流体质袄流吐,‘侧。;
V -流体的体积.m3,;
t—时间,s
p -流休的密度,kg/m';
v—流体的瞬时流速.m/s;
dA—微小单元的面积,m2
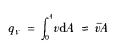
通过整个截面的体积流量q.为

式中qv-通过整个截面的流体体积流量.,m3/s;
v- ——整个截面_L流体的平均流速,M/S;
A—管道截面的面积.m2
若流体在整个截面L的密度是均匀的,则质量流量qm为

式中qm -流体的质量流量.kg/s,
可见.在满足整个截面上密度是均匀的前提下,质量流量和体积流量有如下关系

因为流体的密度p随压力、温度的变化而变化.故在给出体积流母的同时.必须指明流体的状态。特别是对于气体.其密度随压力、温度变化显著,由体积流量换算质量流量时.应格外注意。
在工程应用中。除了要侧量瞬时流量外,往往还需要了解在某一段时间内流过流体的总量,即累积流量。累积流量是指一段时间【t1:t2】内,流过管道截面积流体的总和。等于在该时间段内瞬时流量对时间的积分:

流量计产品系列查看:http://www.jhlyzk.com/products/list-83.html
液位计产品系列推荐:http://www.jhlyzk.com/products/list-83.html
防腐投入式液位变送器:http://www.jhlyzk.com/products/viewproduct-265.html
高温液位变送器:http://www.jhlyzk.com/products/viewproduct-267.html
管道式电磁流量计:http://www.jhlyzk.com/products/viewproduct-226.html
一体化电磁流量计:http://www.jhlyzk.com/products/viewproduct-203.html
下一篇:电容式压力变送器原理和特点
上一篇:常用流量计的种类及比较介绍
- 2019-1-17
磁翻板液位计使用原理及使用注意事项 - 2017-7-3
静压液位计从众多液位计当中脱颖而出的... - 2017-6-30
压力变送器选型指南和技术支持 - 2016-11-9
压力变送器的应用领域有哪些? - 2016-10-24
仪器仪表行业将向智能化方向发展
- 2019-1-25
火电厂化学水处理液位计的发展之路 - 2019-1-21
磁翻板液位计:仪器仪表界的“新贵” - 2018-11-26
将对差压变送器零点迁徙成绩停止详细的... - 2018-11-24
当差压变送器用于蒸汽等温度较高的物资... - 2018-11-23
惯例办法对智能变送器停止校准是不行的

